如果不能正常显示,请查看原文 , 或返回

柏泽 OceanBase
OceanBase

OceanBase(https://oceanbase.alipay.com)是蚂蚁金服和阿里巴巴完全自主研发的金融级分布式关系型数据库,

小蚂蚁说:6月1日-2日,GIAC全球互联网架构大会在深圳华侨城洲际大酒店盛大召开。OceanBase团队资深技术专家柏泽受邀在“金融级核心构架设计专场”发表了深入解析OceanBase的SQL优化器和分布式并行执行原理》的精彩演讲。本文将带你一起深入了解OceanBase SQL团队在优化器和执行引擎上所做的工作。


本文作者:柏泽


现任蚂蚁金服OceanBase团队资深技术专家,负责OceanBase的并行查询和新一代OLAP引擎。曾就职于美国Oracle公司,负责Oracle数据库并行查询研发工作并有多项专利申请。


//////////


以下为演讲实录:


OceanBase是阿里巴巴蚂蚁金服自研的一个通用分布式关系数据库,它在分布式架构下能够保证金融级的数据一致性和高可用,并且有非常灵活的水平扩展能力和弹性部署能力。它一般是多地、多活、多副本的方案去部署,它现在已经支持了蚂蚁金服百分之百的核心交易系统。去年双十一支持了25.6万笔/秒的交易,4200万条SQL/秒。

OceanBase团队资深技术专家柏泽

今天有个很流行的说法叫做金融级数据库,什么叫做金融级数据库?我们认为所有的金融客户使用的各种金融场景,都能够在这个数据库里得到很好的支持和执行,这就是一个金融级数据库。

对于金融客户的需求场景来说,从最基础的来讲,是要求数据的一致性,可靠性,数据不能出错,数据不能丢失;从进阶的角度来讲,系统要有强大的事务处理能力,具有高并发,高可用,可以方便的进行系统扩展和容灾能力。然而,除了这些以外,还有个很重要的点是OLAP(OnLine Analytic Processing在线分析型查询)的查询支持能力。

不管是从蚂蚁内部的业务场景来看,还是从外部金融客户的行业需求来看,OLAP查询是在金融场景中不可或缺的。从风险防范,模式识别,业务报表,月度结算等等,都需要数据库有能够做OLAP查询的能力。

 

OLAP查询的概念最早由Ed. Codd在1993年提出来,至今也有20多年的历史,学术界和工业界围绕OLAP查询的场景,也提出了很多的思路和实现方法。大体来看,OLAP查询是对数据库的SQL查询优化器和SQL执行引擎有比较高的要求的,目前在使用的数据库系统中,能够将OLTP事务型查询和OLAP分析型查询都同时支持的比较好的屈指可数。


OceanBase从金融客户的实际需求场景出发,以SQL优化器的代价模型,统计信息收集和查询改写以及SQL执行引擎的并行执行能力为突破口,围绕着OLAP场景的实际需求,做了大量的工作。


OceanBase的SQL
引擎框架



OceanBase的SQL引擎架构图


SQL引擎的基本工作就是将每一条用户输入的SQL查询语句通过一系列的语法解析,查询改写,计划代价选择,最终生成一个可以执行的语法树,再经由一定的策略通过SQL引擎执行器执行并最终返回结果给用户的过程。SQL引擎追求的优化目标就是最小化查询计划生成时间和执行时间。OceanBase实现了经典SQL引擎的全部模块,并且在其中创造性的提出了很多新的实现,比如Faster Parser这个快速命中计划缓存的机制等。


OceanBase的优化器

OceanBase优化器代价模型基本的经典理论还是基于System R的模型,它会结合OceanBase的数据存储引擎的特点,去考虑代价上的一些特殊性。优化器会做两阶段的优化。

第一阶段是假设所有的关系都是本地的去做一个最优计划,在各种可替代计划当中找出CPU和IO总和开销最小的计划。第二步会进行分布式并行执行优化,并行执行优化除了要考虑CPU和IO,还要考虑网络的开销,考虑采用多线程执行带来的Overhead的开销。

1. 紧密结合LSM-TREE存储的代价模型和统计信息收集

在代价模型对扫描进行代价估计时,不同于单一数据源的存储引擎,OceanBase需要考虑到一行的数据可能同时来自于静态的SSTable和动态的MemTable,每个表每个分区随着动态数据的不同,可能扫描的代价会有差异,我们可以通过一些动态采样的方式来计算不同的扫描代价。在索引回表时,因为是IOT(Index Organized Table)的形式而不是传统常见的堆表,且数据会由负载均衡模块进行动态的迁移,OceanBase的索引中保存的是每行数据的逻辑Rowkey,而不是物理的rowid,这就使得OceanBase的索引回表操作代价会比较高。

 

对于统计信息的收集,除了传统的平均行长,行数,每列的NDV(Number of Distinct Value),直方图等等之外,OceanBase的存储层会保存SSTable每个block的一些统计信息以及MemTable关于数据修改的一些统计信息,可以方便的给优化器提供一些统计信息的输入。此外,OceanBase还有动态采样的框架,可以对于比如没有统计信息的表,或者较为复杂的有关联性的多列的一些统计信息采集,预估,使用动态采样的方法来获取较好的统计信息预估。

 

2. 复杂查询的查询改写

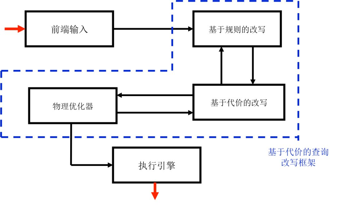
查询改写是指通过一定的方式,将SQL语句改换成语法不同但是语意一样的一种SQL查询优化技术,目前OceanBase已经构建了一个完备的基于代价的SQL查询改写框架,可以进行丰富的基于规则的查询改写和部分的基于代价的改写。 OceanBase的查询改写框架如下图所示:

OceanBase的查询改写框架

目前,OceanBase支持的基于规则和基于代价的查询改写列表如下:

基于规则的改写

视图合并

子查询展开

Anti/Semi Join

过滤条件下推, 连接条件下推,等价条件推导

外连接消除

distinct消除

sort/order by 消除

sort方法选择等

基于代价的改写

OR-expansion

Window function

Group by placement(开发中)

连接条件下推(JPPDto view/table) (开发中)

 

下面各举一例说明查询改写。


例1:规则改写——子查询展开:

如上例所示,如果不做查询改写,则执行计划只能是一个filter计划,对于customer中拿出的每一行,执行子查询,如果有匹配行,则不返回,否则返回,可以看到,子查询会被执行非常多次,计划执行很不高效。在执行查询改写后,通过anti join的方式,不用多次执行orders表的子查询,并且为计划引入了新的优化可能。

 例2:代价改写——OR Expansion:

以上图的两个例子来说,第一个查询,在不采用改写之前,唯一的执行方法就是对t1表做全表扫描并且带上t1.a=1 or t1.b=1这个过滤条件。但是在改写之后,如果在a列或者a,b列上有索引,union all的两个分支可能分别可以采用索引的方式去查询,代价可能会比做全表扫描要好。对于第二个查询,在没做改写之前只能采用nested-loop join的方式去做连接,而改写之后,可以采用hash join,或者merge join等等。


查询改写是一种非常有用的对于复杂SQL提供高效的执行方案的手段,以TPC-H Q17为例,1G schema无并行执行的情况,在OceanBase采用了window function的改写之后,查询时间从原先的3个小时以上跑不出结果到4.9秒出结果。

 

正是因为OceanBase有一套自主研发的完备的基于代价的SQL优化器,我们才能拥有执行复杂查询,大查询的能力,为金融业务的很多复杂查询场景提供强有力的支撑。


OceanBase的并行执行能力


OceanBase是一个分布式的关系数据库系统,在OLAP查询场景下,并行执行的能力对于查询的响应时间(RT)影响很大。OceanBase的SQL引擎实现了一套基于分布式架构的并行执行框架。

1. 并行执行的基本概念

并行执行是一个Divide and Conquer的概念,也就是分治。对于SQL的执行计划来说,我们将整个的计划拆分成为一个个可以独立执行的子计划,通过调度的手段,让有相互依赖的子计划同时采用不同的线程组执行,采用生产者消费者模型,形成局部流水线,充分利用系统的IO和CPU能力,达到降低查询RT快速响应的目的。


同时,在水平层面,在每一个进行基表扫描的子计划中,会通过切分扫描任务的方式,从基表扫描开始,将所有的SQL查询算子都能够并行执行。


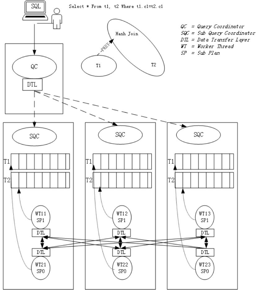
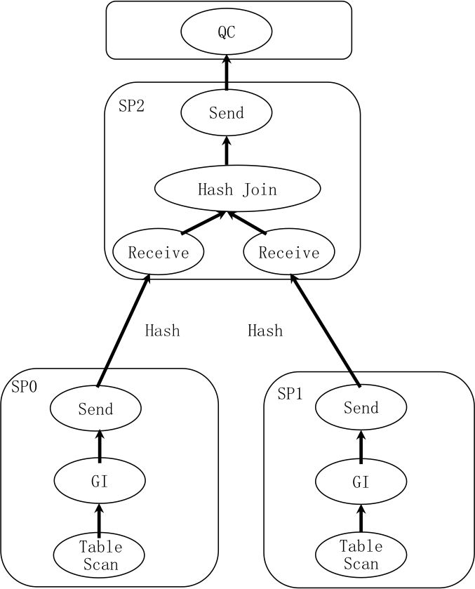
以下图的并行执行计划为例,一个两表连接的Hash Join计划被分成了三个子计划,分别做并行左表的扫描,右表的扫描和并行的Hash Join。为此我们需要能支持数据的重分布。

并行执行计划

OceanBase能够提供多种丰富的数据重分布方法,比如Hash, Broadcast, Round Robin, PKEY, Merge SORT等等,会由优化器来决定最好的计划和数据重分布方式。数据在不同线程组之间通过数据传输层(Data Transfer Layer)DTL传输数据,生产者线程在流水线执行中根据不同的数据重分布方法流式的向DTL层写入数据,消费者线程会不停的从DTL层读取数据并进行对应子计划的执行。

2. OceanBase的两级调度

OceanBase采用了一个两级调度的机制,整体的调度模型如下所示:

OceanBase调度模型

主线程负责生成整体的执行计划,并且获得整体的并行度,随后将子计划发送到各个节点执行,同时按照优化器的指示给定每个节点的并行度,各节点的控制线程会负责本节点执行资源的获取和控制调度,各节点独立决定本节点的扫描任务的粒度,保证并发执行的均匀和高效。


以一个30G的分区表分布在3个节点为例,每个节点上的数据都为10G左右,但是第一个节点只有1个分区,其余两个节点均有20个分区,总的执行并行度假定为15,优化器给每个节点的指定并行度很显然为5。


对于有20个分区的节点,扫描粒度可以以分区为单位进行,但是只有一个分区的节点,如果以分区为单位,则5个线程会有4个处于空闲状态,显然不是最优,此时该节点的并行扫描粒度可以以数据块的范围为粒度,将5个线程同时扫描这一个大的分区。

 

OceanBase的并行执行引擎可以支持所有主要算子的并行执行操作,包括nested loop join, merge join, hash join, aggregation, distinct,group by, window function, count, limit等等。她能够支持丰富的数据重分区方法,从而为优化器的选优提供了更多的可能。


总结

OceanBase的SQL团队通过4年的时间,以关系数据库成熟的理论基础为基石,结合分布式系统架构和LSM-Tree的动静态数据结合的存储引擎特点,从零开始一步一步搭建起了整个的SQL优化器和处理引擎。

我们相信,一个自主研发完全可控的完备的SQL优化器和执行引擎,才可以有能力满足金融客户的复杂查询场景需求,做到真正的具有HTAP的能力,体现出SQL语言的强大查询表达能力,而不再将关系数据库仅仅作为一个分布式的KV系统使用。


了解更多OceanBase

OceanBase官网链接:

https://oceanbase.alipay.com/


请将以上网址复制至浏览器中打开即可查看


OceanBase技术交流群

最后,我们给对 OceanBase 数据库感兴趣的同学准备了微信交流群,你除了在上文的链接中查看OceanBase官网外,你还可以扫描下方二维码联系加群小助手加入OceanBase的技术交流群,来和蚂蚁金服一线OceanBase技术人员还有其他小伙伴们一起讨论交流~!





关注 OceanBase 公众号

蚂蚁金服和阿里巴巴完全自主研发的

金融级分布式关系型数据库



提供最纯粹的数据库知识分享

柏泽

赞赏

长按二维码向我转账

受苹果公司新规定影响,微信 iOS 版的赞赏功能被关闭,可通过二维码转账支持公众号。

返回